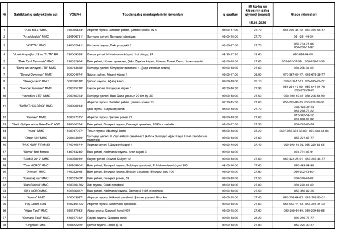
Azərbaycanda 2026-cı ildə ildə unun ilk topdansatış qiymətləri açıqlanıb.
FED.az biznes və maliyyə xəbərləri portalı bu barədə Antiinhisar və İstehlak Bazarlarına Nəzarət Dövlət Agentliyinə istinadən xəbər verir.
Məlumata görə, ölkə üzrə unun topdansatış qiyməti 26,1 – 28,6 manat arasında dəyişir.
Unun ən bahalı topdansatış qiyməti "Azeri-Arapoğlu U.S.və T.LTD" BM şirkətinə məxsus olub. 50 kiloqramlıq unun topdansatış qiyməti 28,6 manat təşkil edib.
Unun ən ucuz topdansatış qiyməti isə 50 kiloqramlığı 26,1 manat olmaqla "Dəvəçi-Taxıl" MMC-ə məxsus olub.
Yanvarın 15-dən etibarən Azərbaycanda unun topdansatış qiymətləri aşağıdakı kimidir:















